One of my great annoyances is scientific articles that use highly controlled experiments to reproduce “real world situations,” especially to generate data that seem to be used only to scare people.
In this regard, the news today presented “data” from a new article showing that SARS-Cov-2, the virus that causes COVID-19, can “survive for 28 days on common surfaces such as the screen of your telephone.” The implication was this virus could then infect anyone who came in contact with it.

This information was presented in very serious fashion by the lead author, Shane Riddell, from the Commonwealth Scientific and Industrial Research Organization (CSIRO), the Australian Centre for Disease Preparedness, Geelong, VIC, Australia. The article he wrote, which was recently published in the Virology Journal, was the source of the concern. The actual information presented in this article, however, was very different from the impression given in the author’s interviews.
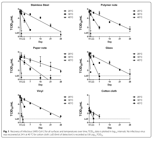
The article put SARS-Cov-2 virus “equivalent to the highest titers (amounts) excreted by infectious patients” on the surfaces. This this would be as if the infected individual put all of their exhaled virus on a single spot on a surface. They then covered it with virus growth media (virus food), kept the surfaces in a sealed container to keep the virus from drying out, and maintained it in the dark to “to negate any effects of UV light”(in other words, the killing of the virus by sunlight).
The virus-coated surfaces were incubated at 68 °F, 86 °F and 104 °F and sampled at various time points. The actual results are shown below.
Any trace of the virus was gone within a day at 104 degrees on all surfaces. It was also totally absent within 7 days on the hard surfaces at 86 degrees, and very small amounts were present only on paper at 7 days, presumably because it held the moisture and prevented the virus from drying out. On hard surfaces that were kept moist at 68 degrees in the dark, the virus could be detected after 21 days; however, in these situations the amount of virus that remained was extremely small and unlikely to infect anyone.
So if you put all the virus you can cough out on your phone, then lock it in the refrigerator in a sealed Ziplock bag for 21 days without charging it (that would heat it up), when you take it out there might be enough virus on it to detect, but probably not enough to infect you!
There are lots more important things to worry about than this report, like wearing a mask in a store or restaurant.


Biscuit tells me to approve When will this antipodean lunacy stop? I now understand Australia’s decision not to open their borders to end of 2021 which must be related to wanting the world to not encounter idiots of this kind Tx for the daily dose of perspective Best George
Get Outlook for iOS ________________________________
LikeLiked by 1 person
Thank you so much for this blog! I’ve learned a lot and REALLY appreciate that you stay away from politics. Can you comment on this article about possible reinfection in the Lancet? https://www.thelancet.com/journals/laninf/article/PIIS1473-3099(20)30764-7/fulltext
I believe the Lancet was also the journal that published hydroxychloroquine as a possible treatment and it was later retracted. I know this journal is pretty well known. Can we generally trust it?
LikeLiked by 1 person