Some of my friends have counseled me that it’s time to stop trying to persuade people to get COVID vaccinated. They believe the people left unvaccinated are dead set against the vaccine. But I think there are a few folks out there that still have concerns about the vaccine but could be convinced.
While the fears about reproductive problems and sudden death were never real, the one medical problem observed uniquely with the mRNA vaccines at higher rates than the normal population is myocarditis.
Myocarditis is an inflammation of the heart muscle and was seen mainly after the second dose of mRNA vaccine. The findings about this problem have been very consistent, and young males under 16 years of age are most likely to have this problem.

Numbers suggested that there would be 5-10 additional individuals per million people vaccinated who develop myocarditis. The good news is every person with this problem recovered simply with observation and treatment using anti-inflammatory drugs (like Motrin and Advil).
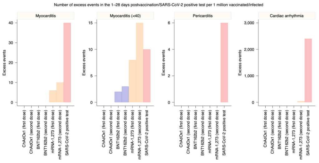
The important news is that studies have now shown you are more likely to develop myocarditis from COVID-19 than from the vaccine! A large study from the UK compared myocarditis events up to 28 days after vaccination with the same period of time after a positive SARS Co V2 test.

The results revealed that evidence of myocardial inflammation was 16 times higher after infection than after vaccination. Only in individuals under the age of 40 were the rates even comparable.
Given all the other potential complications of COVID infection, the risk with the infection is much greater than the risk of the vaccine. In addition, the one, legitimate medical complication from the vaccine turns out to be less common than what might occur with COVID-19 infection.
jim,
any reports of success in India treating Covid with hydoxychlorine as only treatment ?
dan clifford m.d.
On Tue, Feb 1, 2022 at 8:27 PM Pandemic Pondering wrote:
> jbakerjrblog posted: ” Some of my friends have counseled me that it’s time > to stop trying to persuade people to get COVID vaccinated. They believe the > people left unvaccinated are dead set against the vaccine. But I think > there are a few folks out there that still have concern” >
LikeLike
None with any success
LikeLike
Are the counts of COVID patients with Myocarditis vaccinated or non vaccinated or both?
LikeLike
Non-vaxxed
LikeLike